欧美黑人巨大videos精品_欧美黑人巨大xxxxx_欧美黑人乱大交_欧美黑人乱大交_欧美黑人牲交videossexeso_欧美黑人添添高潮a片www_欧美黑人添添高潮a片www_欧美黑人性暴力猛交喷水黑人巨大

土木学院举办“笔墨中国”汉字书写大赛
发布时间: 2023-06-06 浏览次数: 104

   本网讯  为贯彻落实党的二十大精神,加大国家通用语言文字推广力度,传承弘扬中华优秀语言文化,推进文化自信自强,我院于5月25日到530日举办“笔墨中国”汉字书写大赛。



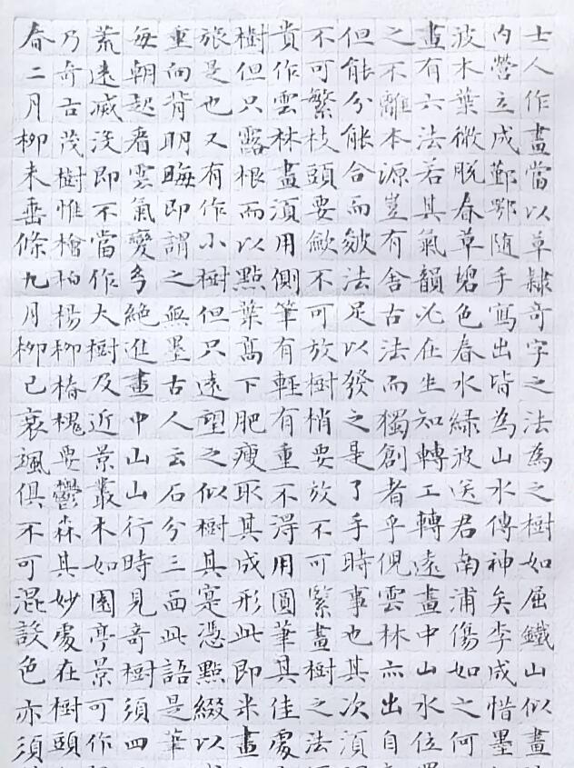
  本次大赛吸引全院几十名学生与老师参加,作品主题鲜明,内涵丰富。书法作品字体多样,硬笔书法笔力遒劲,楷书、行书都各有特色;软笔书法或工整隽秀、或挥洒自如、或浑然古朴,作品集思想性、艺术性、观赏性于一体,导向正确,各具特色,具有较高的品味,其中王子阳《画禅室随笔》、陈一航的《赤壁赋》和阮从艳的诫子书作品获得一等奖,张明宇等三位同学获得二等奖,马智鑫老师与施国栋老师的作品也颇有风采。此次活动从参加作品的形式和内容上来说都较为丰富,体现了同学和老师们参与活动的热情。


  大赛丰富了同学们的课余文化生活,培养了大家对书法的兴趣与爱好,尤其对于学生养成严谨认真地书写汉字习惯,营造了良好的氛围,对传承和弘扬中华书法文化,引领学生感受书法艺术之美,增强学生的文化自信和爱国情怀具有十分重要的意义。(图/文:王月竹陈一航,刘睿 ;审核:王媛)


皖ICP备020545号 Copyright 2010 欧美黑人巨大videos精品_欧美黑人巨大xxxxx_欧美黑人乱大交_欧美黑人乱大交_欧美黑人牲交videossexeso_欧美黑人添添高潮a片www_欧美黑人添添高潮a片www_欧美黑人性暴力猛交喷水黑人巨大 土木工程学院 All Rights Reserved