本网讯 近日,材化学院功能高分子与化学建材团队王平博士通过离子液体(ILs)催化调控聚乳酸/多壁碳纳米管(PLA/MWCNTs/EMA-GMA)纳米复合体系的界面化学反应和相结构,制备了可用于吸波、隐形和电磁屏蔽功能器件的生物基纳米复合材料。相关成果以《Improved mechanical and dielectric properties of PLA/EMA-GMA nanocomposites based on ionic liquids and MWCNTs》为题在国际学术期刊《Composites Science and Technology》(材料类TOP期刊;JCR Q1区,影响因子7.094)上发表。
以PLA为代表的生物质可降解塑料由于其绿色、低碳、环保、可堆肥降解、来源广泛等优点成为全球研究应用的重点。特别是以多壁碳纳米管(MWCNTs)为媒介的生物基吸波、隐形和电磁屏蔽功能的器件更是当前研究的热点。目前很多科研工作者开展了PLA/MWCNTs复合材料相关的研究,但尚处于起步阶段,且对MWCNTs与PLA基体的相互作用,该作用对PLA基体聚集态结构的演化,以及最终对复合材料性能的影响和调控机理方面研究较少。
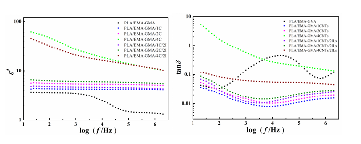
材化学院王平博士联合合肥工业大学丁运生教授、徐佩副教授和周意杨博士通过将ILs引入PLA/MWCNTs/EMA-GMA体系,催化了PLA/EMA-GMA的界面增容反应,将材料的冲击强度提高了36.7%,拉伸强度和断裂伸长率分别提高 10%和 86.8%。并发现ILs诱导了MWCNTs在材料界面和基体内部形成了固体填料网络(图1),实现材料介电常数降低2倍的同时介电损耗降低20倍,复合材料电性能明显提高,并对机理进行阐述(图2和图3)。

图1. PLA/EMA-GMA复合材料断面SEM和TEM照片

图2. PLA/EMA-GMA复合体系介电常数和介电损耗随频率的变化图

图3. ILs对PLA/EMA-GMA/MWCNTs相结构调控和界面强化增容机理
上述研究得到了国家自然科学基金项目(51903002)、安徽省重大专项(201903a05020027),安徽高校协同创新项目(GXXT-2019-017)、安徽省高校省级自然科学研究重点项目(KJ2019A0774)和欧美黑人巨大videos精品_欧美黑人巨大xxxxx_欧美黑人乱大交_欧美黑人乱大交_欧美黑人牲交videossexeso_欧美黑人添添高潮a片www_欧美黑人添添高潮a片www_欧美黑人性暴力猛交喷水黑人巨大博士启动基金项目(2019QDZ22)的资助,是学院科研平台建设和新进教师培养取得的重要成果。(文:陈建利 图:王平;审稿:冯绍杰)

